General Concept
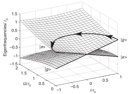
Adiabatic rapid passage (ARP) is used to transfer from one state to another in atomic systems. It is more robust than simply using Rabi oscillations to transfer states. The way it works is by varying both the detuning and intensity of light as one passes over a resonance you can avoid the crossing that happens at zero detuning and efficiently transfer states. A good visualization of the dressed state picture is below.

References
[1] van der Straten, P., & Metcalf, H. (2016). Atoms and Molecules Interacting with Light: Atomic Physics for the Laser Era. Cambridge: Cambridge University Press.